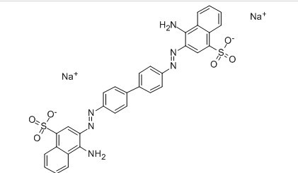
中文名:刚果红
英文名:Congo Red
CAS:573-58-0
级别:certified grade
分子量:696.66
分子式:C32H22N6Na2O6S2
纯度:≥85%
储存条件:RT
产品简介
中文别名:3,3'-[[1,1'-联苯]-4,4'-基双(偶氮)]双(4-氨基萘-1-磺酸)二钠;直接大红
英文别名:COTTON RED B OR C;COSMOS RED;CONGO RED FIBRIN
物理性质:棕红色粉状物,易溶于热水,溶于10份冷水,溶液呈黄红色;溶于乙醇呈橙色;极微溶于丙酮,几乎不溶于醚
产品用途:实验室常用指示剂,同时也是致癌分散染料的一种,用于标准品检测
商品信息已成功复制,启研竭诚为您服务
