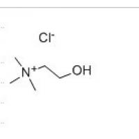
中文名:氯化胆碱
英文名:Choline chloride
CAS:67-48-1
级别:Reagent Grade
分子量:139.62
分子式:C5H14ClNO
纯度:>98.5%
储存条件:2-8℃
产品简介
中文别名:氯化-2-羟乙基三甲铵;氯化胆脂;三甲基(2-羟乙基)铵氯化物;增蛋素
英文别名:(2-hydroxyethyl)trimethyl-ammoniuchloride
物理性质:white crystals , easy to hygroscopicity. easy to soluble in water and ethanol , insoluble in ether .Suitable for Cell culture
产品用途:织培养基、饲料添加剂,临床用于抗脂肪肝剂
商品信息已成功复制,启研竭诚为您服务
