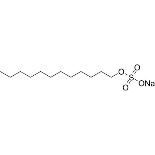
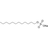
中文名:十二烷基硫酸钠
英文名:SDS
CAS:151-21-3
级别:Molecular Biology Grade
分子量:288.38
分子式:C12H25NaO4S
纯度:>99%
储存条件:RT
产品简介
中文别名:十二醇硫酸钠;十二烷基硫酸酯钠盐;月桂醇硫酸钠;十二烷基硫酸钠(月桂基硫酸钠)
英文别名:LAURYLSULFURIC ACID SODIUM SALT;LAURYL SULFATE SODIUM SALT
物理性质:白色粉末,溶于水,微溶于乙醇。
产品用途:生化分析,电泳,离子对试剂
商品信息已成功复制,启研竭诚为您服务
